वर्णक पीला 97
Pigment Yellow 97 is a bright, durable yellow pigment commonly used in coatings, inks, plastics, and paints. Known for its excellent lightfastness, weather resistance, and non-toxic properties, it offers vibrant color with high opacity. This pigment provides superior color strength and is often chosen for applications requiring consistent, high-quality yellow hues. It’s widely used in industrial sectors such as automotive, textiles, and packaging, offering a reliable and long-lasting color solution. Pigment Yellow 97 is valued for its versatility, environmental safety, and ability to maintain color integrity even under harsh conditions.
| समानार्थी शब्द | C.I.Pigment Yellow 97; C.I.PY97; PY97; P.Y.97 |
| C.I. Number | 11767 |
| सीएएस संख्या | 12225-18-2 |
| ईयू नंबर | 235-427-3 |
| आण्विक सूत्र | C26H27CINN4O8S |
| रासायनिक परिवार | मोनो azo |
| रंग | ![]() |
| ह्यू वितरण |
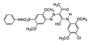
आणविक संरचना:

Pigment yellow 97 Physical, Chemical and Fastness Properties
| आणविक वजन | 591.08 |
| पीएच मान | 7.5 |
| घनत्व | 1.5 |
| तेल अवशोषण (एमएल / 100 ग्राम)% | 45 |
| रोशनी तेजी | 7 |
| उष्मा प्रतिरोध | 200 (°C) |
| पानी प्रतिरोध | 5 |
| तेल प्रतिरोध | 4 |
| एसिड प्रतिरोध | 5 |
| क्षार प्रतिरोध | 5 |
आवेदन
Pigment Yellow 97 finds application in various industries due to its vibrant yellow color. Some common applications include:
Paints and Coatings: Pigment Yellow 97 is used in the formulation of paints and coatings for decorative and protective purposes. It can be incorporated into water-based or solvent-based paints to provide a yellow hue.
Printing Inks: The pigment is utilized in the production of yellow printing inks for applications such as packaging, publications, and other printed materials.
Plastics: Pigment Yellow 97 is often employed in the coloring of plastics, including PVC (polyvinyl chloride), polyolefins, and other polymer materials. It imparts a durable and stable yellow color to plastic products.
Textiles: In the textile industry, this pigment may be used for dyeing fabrics, providing a yellow color to textiles and garments.
Inkjet Inks: Pigment Yellow 97 can be used in the formulation of inkjet inks for printing images and text on various substrates.
Artist Colors: Artists and manufacturers of art supplies may use Pigment Yellow 97 in the production of oil paints, acrylics, watercolors, and other artistic mediums.
Other Applications: The pigment may also be employed in a variety of other applications where a stable and vibrant yellow color is desired, such as in the coloring of cosmetics, rubber products, and specialty coatings.
सम्बंधित जानकारी
Pigment Yellow 97 is a hydroxyl-containing polycarboxylic acid that is used in the production of paints and plastics. It has an oxidation potential of +0.6 volts, which indicates that it is reactive. Pigment Yellow 97 has an absorption maximum at 526 nm and a molecular weight of 317.09 g/mol. The chemical structure of Pigment Yellow 97 consists of a molecule with a reactive carboxyl group and a reactive hydroxyl group, as well as an intramolecular hydrogen bond between the two groups. This pigment also forms coordination complexes with metals such as iron oxides to form particle pigments or mixtures with glycol esters to form solid particles or dispersions, respectively.
नाम और पहचानकर्ता
IUPAC Name: N-(4-chloro-2,5-dimethoxyphenyl)-2-[[2,5-dimethoxy-4-(phenylsulfamoyl)phenyl]diazenyl]-3-oxobutanamide
InChI=1S/C26H27ClN4O8S/c1-15(32)25(26(33)28-18-12-20(36-2)17(27)11-21(18)37-3)30-29-19-13-23(39-5)24(14-22(19)38-4)40(34,35)31-16-9-7-6-8-10-16/h6-14,25,31H,1-5H3,(H,28,33)
InChIKey: WNWZKKBGFYKSGA-UHFFFAOYSA-N
Canonical SMILES: CC(=O)C(C(=O)NC1=CC(=C(C=C1OC)Cl)OC)N=NC2=CC(=C(C=C2OC)S(=O)(=O)NC3=CC=CC=C3)OC
गणना गुण
| संपत्ति का नाम | संपत्ति मूल्य |
| आणविक वजन | 591.0 g/mol |
| एक्सलॉगपी3-एए | 4.6 |
| हाइड्रोजन बॉन्ड दाता संख्या | 2 |
| हाइड्रोजन बॉन्ड स्वीकारक संख्या | 11 |
| घूर्णन योग्य बॉन्ड गणना | 12 |
| सटीक द्रव्यमान | 590.1238127 Da |
| मोनोआइसोटोपिक द्रव्यमान | 590.1238127 Da |
| टोपोलॉजिकल ध्रुवीय सतह क्षेत्र | 162 Ų |
| भारी परमाणु गणना | 40 |
| औपचारिक आरोप | 0 |
| जटिलता | 974 |
| आइसोटोप परमाणु गणना | 0 |
| परिभाषित परमाणु स्टीरियोसेंटर गणना | 0 |
| अपरिभाषित परमाणु स्टीरियोसेंटर गणना | 1 |
| परिभाषित बॉन्ड स्टीरियोसेंटर गणना | 0 |
| अपरिभाषित बॉन्ड स्टीरियोसेंटर गणना | 0 |
| सहसंयोजक-बंधित इकाई गणना | 1 |
| यौगिक को विहित किया गया है | हाँ |











