पिगमेंट रेड 176-कोरीमेक्स रेड एचएफ 3 सी
उत्पाद पैरामीटर सूची
| रंग सूचकांक नं। | वर्णक लाल 176 |
| उत्पाद का नाम | कोरिमैक्स रेड एचएफ 3 सी |
| उत्पाद श्रेणी | कार्बनिक वर्णक |
| सीएएस संख्या | 12225-06-8 |
| ईयू नंबर | 235-425-2 |
| रासायनिक परिवार | Benzimidazolone |
| आणविक वजन | 572.57 |
| आण्विक सूत्र | C32H24N6O5 |
| पीएच मान | 7 |
| घनत्व | 1.6 |
| तेल अवशोषण (एमएल / 100 ग्राम)% | 40-60 |
| प्रकाश स्थिरता (कोटिंग) | 6 |
| गर्मी प्रतिरोध (कोटिंग) | 180 |
| लाइट फास्टनेस (प्लास्टिक) | 6-7 |
| गर्मी प्रतिरोध (प्लास्टिक) | 250 |
| पानी प्रतिरोध | 5 |
| तेल प्रतिरोध | 5 |
| एसिड प्रतिरोध | 5 |
| क्षार प्रतिरोध | 4-5 |
रंग | ![]() |
| ह्यू वितरण |
विशेषताएं:
पिगमेंट रेड 176 एक शानदार ब्लिश शेड उच्च प्रदर्शन वर्णक है, जिसमें उत्कृष्ट स्थिरता, उच्च गर्मी प्रतिरोध, पारदर्शी और प्रवास प्रतिरोध है।
टीडीएस (वर्णक लाल 176) MSDS(Pigment Red 176)आवेदन:
औद्योगिक पेंट, पाउडर कोटिंग, प्रिंटिंग पेस्ट, पीवीसी, रबर, पीएस, पीपी, पीई, पु, पानी आधारित स्याही, विलायक स्याही, यूवी स्याही के लिए अनुशंसित।
ऑटोमोटिव पेंट्स, आर्किटेक्चरल कोटिंग्स, कॉइल कोटिंग्स, ऑफसेट स्याही के लिए सुझाव दिया गया है।
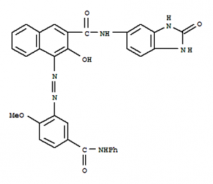
आणविक संरचना:

भौतिक और रासायनिक गुण: नीला और लाल। लाईटफास्टनेस स्तर है 6. थर्मल स्थिरता 300 ℃ से ऊपर है। कार्बनिक विलायक प्रतिरोध बिना प्रवास के 4 से 5 ग्रेड तक पहुंचता है।
उत्पाद का उपयोग: मुख्य रूप से प्लास्टिक के रंग के लिए उपयोग किया जाता है।
वर्णक लाल 176 विशिष्टता ification
2-नेफ़थलेंसेरबॉक्सैमाइड, एन- (2,3-डायहाइड्रो-2-ऑक्सो -1 एच-बेन्ज़िमिडाज़ोल-5-यल) -3-हाइड्रॉक्सी-4- [2- [2-मेटालोक्सीक्सी -5 - [(फेनिलमिनो) कार्बोनेल] फेनिल ] डायजेनिल] - सूत्र C32H24N6O5 के साथ एक कार्बनिक यौगिक है। इस रसायन का व्यवस्थित नाम 3-हाइड्रॉक्सी-4- [2-मेथॉक्सी-5- (फेनिलकार्बामॉयल) फिनाइल] azo-N- (2-ऑक्सो-1,3-डिहाइड्रोबेंजिमिडाजोल-5-यल) नेफ्थलीन -2-कार्बोक्सामाइड है। कैस रजिस्ट्री संख्या 12225-06-8 के साथ, इसे एन- (2,3-डायहाइड्रो -2-ऑक्सो -1 एच-बेन्ज़िमिडाज़ोल -5-वाईएल) -3-हाइड्रॉक्सी -4 - [2-मेथॉक्सी- के रूप में भी नामित किया गया है। 5 - [(phenylamino) कार्बोनिल] फिनाइल] azo] नेफ़थलीन-2-carboxamide। उत्पाद की श्रेणी ऑर्गेनिक्स है।
भौतिक गुणों के बारे में 2-नेफ़थलेंसेरबॉक्साइड, एन- (2,3-डायहाइड्रो-2-ऑक्सो -1 एच-बेन्ज़िमिडाज़ोल -5-यल) -3-हाइड्रॉक्सी-4- [2- [2-मेथॉक्सी-5 -] (फेनिलैमिनो) कार्बोनिल ] फिनाइल] डायजेनिल] - हैं: (1) एसीडी / लॉगपी: 6.96; (२) # ५ उल्लंघन का नियम: ४; (३) एसीडी / लॉगडी (पीएच ५.५): ६.९ ५; (4) एसीडी / लॉगडी (पीएच 7.4): 6.95; (५) #H बंधन स्वीकार करने वाले: ११; (6) #H बॉन्ड डोनर्स: 5; (() # पूरी तरह से घूमने वाली बॉन्ड: re; (8) ध्रुवीय सतह क्षेत्र: 153.51 Surface2; (९) अपवर्तन सूचकांक: १. ;२१; (10) मोलर अपवर्तन: 157.67 सेमी 3; (11) मोलर आयतन: 398.6 सेमी 3; (12) ध्रुवीयता: 62.5 × 10-24 सेमी 3; (13) भूतल तनाव: 61 डायने / सेमी; (14) घनत्व: 1.43 ग्राम / सेमी 3; (15) फ्लैश प्वाइंट: 357.3 डिग्री सेल्सियस; (१६) वाष्पीकरण की अफीम: १०१.६३ केजे / मोल; (१ () क्वथनांक: ६६.2.२ डिग्री सेल्सियस Bo६० एमएमएचजी पर; (१ () वाष्प दाब: २५० डिग्री सेल्सियस पर २.०५ ई -१g एमएमएचजी।










